Algebra - Factorisation - Completing the Square (non-monics).
Test Yourself 1 - Solutions.
Note: To combine the two numbers in each factorisation,
it might sometimes be easier and quicker to use your calculator.
| Expressions | 1. ![]() |
2. ![]() |
3. ![]() |
4. ![]() |
|
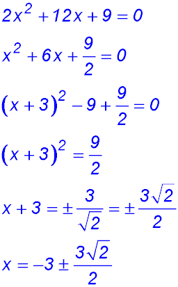
| Solve these equations by completing the square. | 5. ![]() |
6.
|
7. ![]() |
8. ![]() |
|
9. ![]() |
10. ![]() |
|
11. ![]() |
12. ![]() |
|
13. ![]() |
14. ![]() |
|
15. ![]() |