Dr. J's Maths.com
Where the techniques of Maths
are explained in simple terms.

Algebra - Factorisation - Cross method (monics).
Test Yourself 1 - solutions.


 

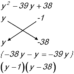
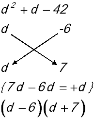
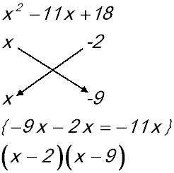
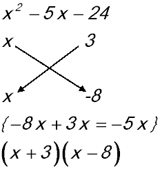
Solutions for each of the factorisations in the Cross Method Test Yourself 1 are summarised in the following table.
Some selected comments can be obtained by hovering over HINT where included.

Type of question No.   No.  
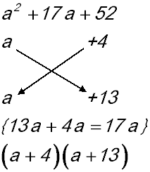
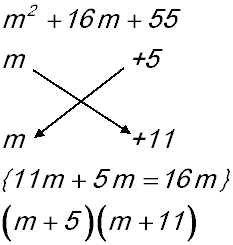
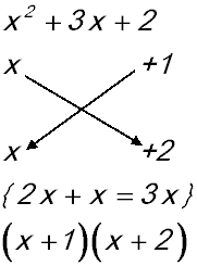
Both signs positive. 1.

TYS 1 1

2.

TYS 1 2

  3.

TYS 1 3

4. TYS 1 4
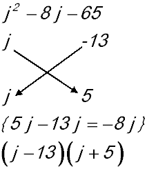
Signs are negative then positive respectively. 5.

TYS 1 5

6. TYS 1 6
  7.

TYS 1 7

8. TYS 1 8
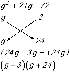
Signs are positive then negative respectively. 9. TYS 1 9 10. TYS 1 10
  11.

TYS 1 11

12.

TYS 1 12

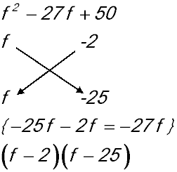
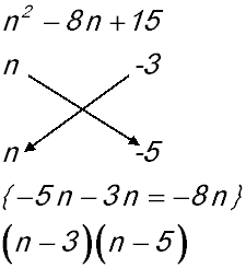
Signs are both negative. 13.

TYS 1 13

 

14.

TYS 1 14

  15.

TYS 1 15

16.

TYS 1 16

Randoms. 17.

TYS 1 17

18. TYS 1 18
  19.

TYS 1 19

20. TYS 1 20