Algebra - Factorisation - Cross Method (non-monics).
Test Yourself 1 - Solutions.
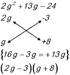
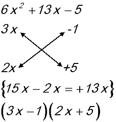
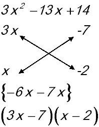
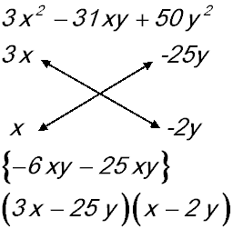
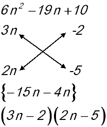
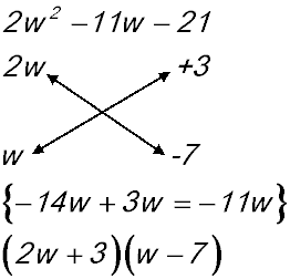
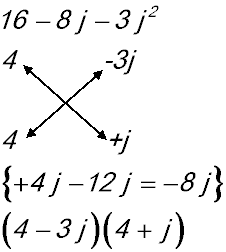
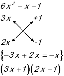
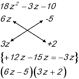
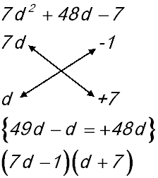
Solutions for each of the factorisations in the Cross Method (non-monics) Test Yourself 1 are summarised in the following table.
Some selected comments can be obtained by hovering over HINT where included.
| No. | No. | ||
| 1. | ![]() |
2. |
|
| 3. |
|
4. |
|
| 5. | ![]() |
6. |
|
| 7. |
|
8. |
|
| 9. |
|
10. |
|
| 11. |
|
12. |
|
| 13. | ![]() |
14. |
|
| 15. |
|
16. |
|
| 17. |
|
18. |
|
| 19. |
|
20. |
|