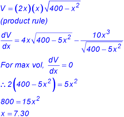
| Box in a sphere. |
1.
(i) 
(ii) 
(iii) 
To test turning point:
| x |
7 |
7.3 |
8 |
| dV/dx |
73.1 |
0 |
-286 |
So a change of gradient from +ve to -ve - ∴ max value.
Max vol is 1232 cm3.
|
| |
2. |
| Cone in a sphere. |
3. (i) The volume of the cone would be . Looking at the required equation in the question, there is no r pronumeral. So this has to be eliminated in the equation here. Draw the following picture to create another triangle - not an uncommon strategy (so remember it). Then use Pythagoras.


(ii) Expand immediately so we do not have to use a product rule.
Also recognise that R is the radius of the sphere - AND SO IT IS A CONSTANT!!

|
| |
4. (i) 
(ii) 
(iii)  |
| |
|
| |
|
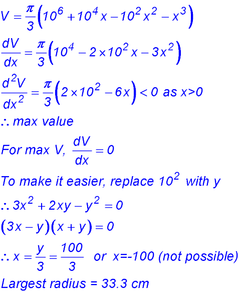
| Cylinder in a sphere. |
5. |
| |
6. |
| |
|
| Cylinder in a cone. |
7. 
(i) 
(ii) 
(iii)  |
| |
8. |
| |
|