Calculus - Integration by substitution - various functions.
Test Yourself 1.
Integration by substitution is often called the Reverse Chain Rule.
It facilitates finding the integral of a function when that function is set-up in a special way.
The set-up requires a substitution to be made.
| Different indices. | 1. |
2. ![]() |
3. ![]() |
4. ![]() |
|
5. ![]() |
6. ![]() |
|
| 7. | 8. ![]() |
|
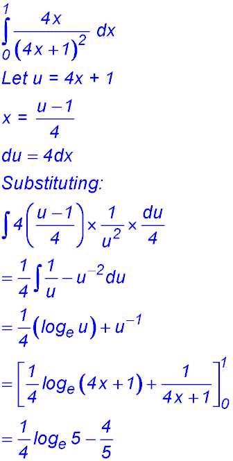
| Logarithms. | 9. ![]() |
10. ![]() |
11 .
| 12. | |
| 13. | 14. ![]() |
|
| Trigonometric functions. | 15. |
16. ![]() |
| 17. | 18. ![]() |
|
19. |
20. ![]() |
|
| 21. . | 22. | |
| Exponentials. | 23. |
24. |
25. . |
26. | |
27. . |
28. |