Dr. J's Maths.com
Where the techniques of Maths
are explained in simple terms.

Calculus - Integration - basic.
Test Yourself 1.


 

The types of questions on this page which can be reached using the relevant hyperlinks are:

1. Finding primitives

2. Finding indefinite and definite integrals.

3. Finding the equations of curves.

 

Find primitives of each of the following:

1. 3x2 - 2x + c 2. 3.
4. 5. 6.
7. 8. 9.
10. 11. 12.
13. 14. 15.

 

 

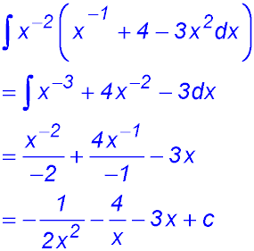
Integrate each of the following indefinite integrals:

16. 17. 18.
19. 20.ONLY 1 TERM IN DENOMINATOR - SO DIVIDE THROUGH

21. PI IS A CONSTANT!!

22. EXPAND

23. COMBINE TERMS

24. EXPAND

25. 26. 27.
28. NOTE: leave the 3 out the front.

 

29. NOTE: leave the 2 and the 3 out the front - dont touch or move them. They are just decorations!!

 

30.
31. 32. 33.
34. Split the terms and integrate the two terms separately. 35. 36. Must expand the brackets because of the x2 term.

 

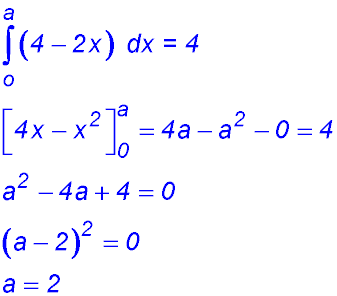
Evaluate each of the following definite integrals:

37. 38. 39. Note this is an odd function with corresponding limits but negative.

Hence areas above and below the x axis balance.

40. 41. 42.
43. 44. 45.

 

Finding the equations of curves.

46. 47.
48.
49.