Dr. J's Maths.com
Where the techniques of Maths
are explained in simple terms.

Calculus - Integration - Reverse Chain Rule - Multi-function expressions.
Test Yourself 1 - Solutions.


 

 

Exponential and log functions. 1.

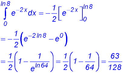
2. .

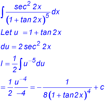
  3.

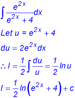
4.

  5. 6.
 

7. (i) loge x = loge 4

∴ x = 4
So intersection is at (4, ln 4).

 

(ii)

(iii) If the area below the shaded region had been calculated, the statement for area would have been written as .

We note there is a rectangle starting at the origin, extending vertically
to y = ln 4 and extending horizontally to x = 4. The area of this rectangle is therefore A = 4 ln 4.

The rectangle consists of two areas -
the area calculated in (ii) from the y axis and the area which is the subject of this part.

∴ Areareqd = Arearect - Area(ii)

  8. (i)

(ii)The two functions y = loge x and touch at the point (e, 1) because the latter is a tangent. The graph shows that the log curve is below the tangent for all other values of x.

(iii)

Exponential and trig functions.

9.

10.
  11. 12.
  13.

14.

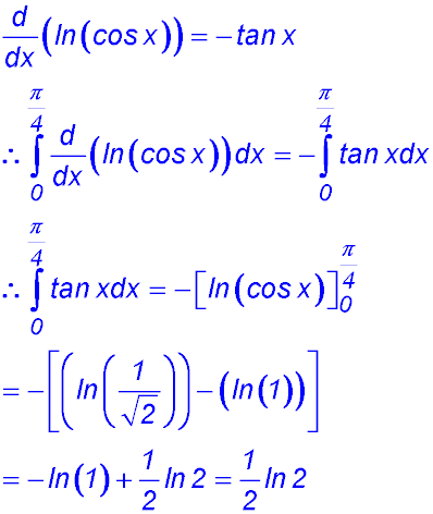
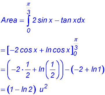
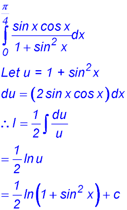
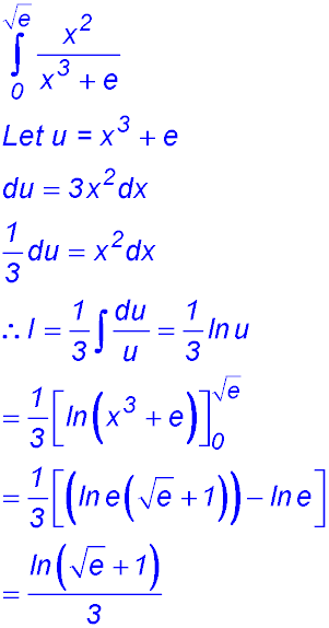
Log and trig functions. 15.

16. (i)

(ii)

 

17. (i)

(ii)

(iii)

(iv)

  18.  
  19. 20.