Logarithmic functions - Differentiation - basic techniques.
Test Yourself 1.
The questions on this page focus on differentiating:
|
Differentiate each of the following:
| Basic structure | 1. ![]() |
2. ![]() |
3. ![]() |
4. ![]() |
|
5. ![]() |
6. ![]() |
|
| Chain rule | 7. ![]() |
8. ![]() |
9. ![]() |
10. ![]() |
|
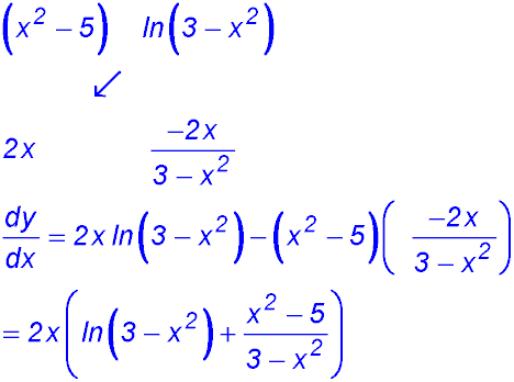
| Product rule | 11. |
|
12. ![]() |
13. ![]() |
|
14.
|
15.![]() |
|
| 16. | 17. ![]() |
|
| Quotient rule | 18. . |
19. |
| 20. | 21. | |
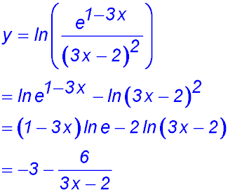
| Use log laws | 22. ![]() |
23. ![]() |
24. ![]() |
25. ![]() |
|
| 26. | 27. ![]() |
|
28. ![]() |
29. ![]() |
|
30. ![]() |
31. ![]() |
|