Functions - Logarithms - Reverse Chain Rule.
Test Yourself 1 - Solutions.
| Definite | 1. ![]() |
2. ![]() |
3. ![]() |
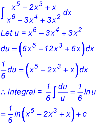
4. |
|
5. ![]() |
6. ![]() |
|
7. ![]() |
8. ![]() |
|
9. ![]() |
10. NOTE: the denominator disappears because the fraction of which it is part is replaced by du. |
|
| Definite | 11. ![]() |
12. ![]() |
13. ![]() |
14. ![]() |