Geometry - Pythagoras' Theorem - basic concepts.
Test Yourself 1.
All the triangles in the following questions are right-angled.
Remember the hypotenuse is the side opposite the right angle
so start by writing down that pronmeral or value first and then squaring it.
| Basic relationships | 1.
Put all into your calculator in one action. |
2.
|
3.
|
4.
|
|
5.
|
6.
|
|
7.
|
8.
|
|
9.
|
10.
|
|
Test for a right angle. REMEMBER: The hypotenuse of a right angled triangle is always the longest side. So use the squares of the other two numbers. |
11.
|
12.
|
13.
|
14.
|
|
| Test if a triad |
15. Does the set of three numbers {14, 18, 23} form a Pythagorean triad?
|
16. Is the set of numbers {6, 3, 4} a Pythagorean triad?
|
|
17. Is it correct to describe the numbers {120, 150, 90} as forming a Pythagorean triad?
|
18. Does the set of three numbers {64, 48, 80} form a Pythagorean triad?
|
|
| Applied questions | 19.
|
20.
|
21.
|
22.
|
|
23.
|
24. 152 = 7.52 + h2 h = 13.0 cm. |
|
25. In the top triangle, let the height be x cm and the part of the diagonal be 7.5 cm. Remember: the diagonals of a rhombus bisect each other at right angles.
|
26.
|
|
27.
|
28.
|
|
| 29. | 30.
|
|
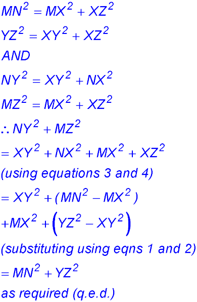
Old classics. |
31. ![]() |
![]() |
| Q32: Taken from a question posed about 630 AD by the Hindu mathematician Brahmagupta. | 32.
|
![]() |