Dr. J's Maths.com
Where the techniques of Maths
are explained in simple terms.

Trigonometry - Trigonometric identities.
Test Yourself 1 - Solutions.


 

Simplify the following trigonometric identities:

Basic substitutions. 1. 2.
  3. 4.
  5. 6.
  7. 8.
Complementary angles. 9. 10.
Pythagorean relationships. 11. 12.
  13.

14.

Prove the following trigonometric identities:

Basic substitutions
(change of defintion).
15. 16.
 

17.

 

18. sec2 x - tan2 x = 1

LHS = 1 + tan2x - tan2x

= 1 = RHS

Complementary angles. 19.

20.
Pythagorean relationships. 21. (1 - sin θ)(1 + sin θ) = cos 2θ

LHS = 1 - sin2θ

= cos2θ = RHS

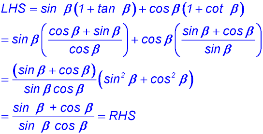
22.
  23.

sin4 x + cos2sin2x = sin2 x

LHS = sin2x(sin2x + cos2x)

=sin2x = RHS

24. sec β - cos β = sin β tan β
  25. 26.
  27.

3sin2 A + 2 cos2 A = sin2 A + 2

LHS = sin2 A +(2sin2 A +2cos2 A)

= sin2 A + 2 = RHS

28.
  29. 30.
  31.
  32. 33.
  34.

35. LHS = (sin B + cos B)2 + (sin B - cos B)2

= sin2 B + 2sin Bcos B + cos2 B + sin2 B

- 2sin B cos B + cos2 B

= 2sin2 B + 2 cos2 B

= 2(sin2 B + cos2 B)

= 2 = RHS